안녕하세요.
오늘은 오리진의 강력한 기능중 하나인 Fitting에 대해서 알아보려고 합니다.
간단하게 먼저 직선의 그래프 피팅을 해보도록 하겠습니다.
직선의 그래프는 다음과 같이 표현 할 수 있습니다.
y(x) = a * x + b
여기에서 a는 기울기이고 b는 Y절편이 됩니다.
예시를 위해, y=2x+4라는 직선의 방정식을 생각해 봅시다.
만약 저 값 그대로 fitting을 하게 된다면 그냥 이미 기울기a와 Y절편 b는 2와 4라는 것을 각각 알고 있습니다.
따라서 약간의 노이즈를 넣어 함수를 조금 지저분하게 만들어 보았습니다.
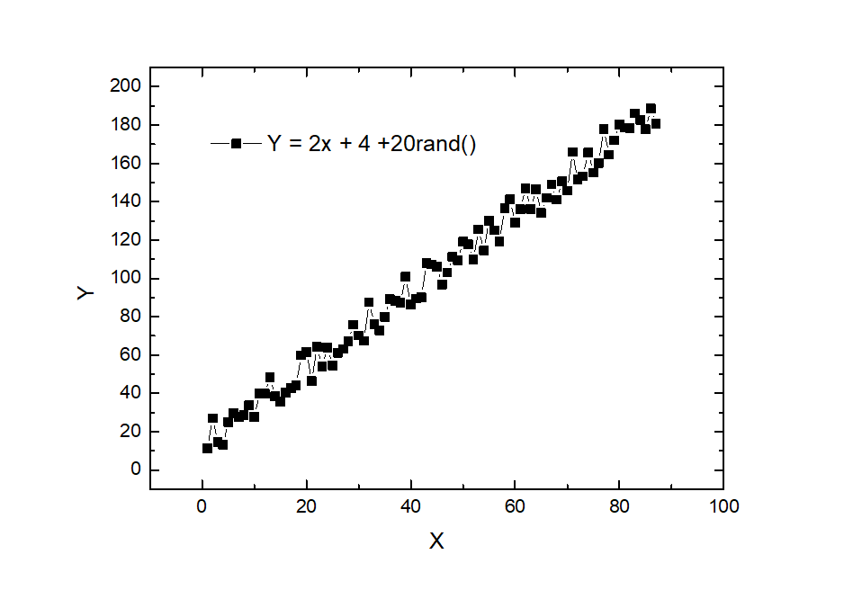
y = ax + b +rand()*2
위 그래프는 0과 2사이의 값을 랜덤으로 더해주는 함수를 추가한 모습입니다.
이렇게 만든 함수를 그래프로 그려보면 아래와 같습니다.

그럼 이 함수를 피팅한다고 가정해 봅시다.
원래 그래프인 Y=2x+4가 있습니다.
여기에 랜덤함수 범위 0과 20의 중간인 10이 더해져서 Y=2x+14와 비슷하게 값이 나오면 됩니다.
이제 피팅을 시작해 보겠습니다.
가장 중요한것은, 피팅을 하고자 하는 그래프를 활성화 시키는 것입니다.
즉, 피팅하고자 하는 그래프를 가장 위에 띄워놓는 것(클릭해서)입니다.

만약 이렇게 그래프를 선택한 것이 아니라면, 어떤 데이터를 fitting해야하는지 일일이 입력해 주어야 합니다.
따라서 피팅하고자 하는 그래프를 활성화 시키는것이 간단합니다.
그 후 아래와 같이 진행합니다.

메뉴의 [Fitting] - [Linear Fit] - [Open Dialog...]로 들어갑니다.

Linear Fit 다이얼로그가 열리는데, 위에 보시면 Input data가 잘 정해진 것을 알 수 있습니다.
딱히 바꿀것은 없기 때문에 오른쪽 하단의 [Ok]를 눌러줍니다.

그럼 위 그림과 같이 갑자기 어떤 표가 나타납니다.
이 표가 결과라고 볼 수 있습니다.
하단의 Y 영역에서 Intercept가 Y절편인 b, Slope가 기울기 a입니다.
피팅 결과를 보면 함수는 Y = 2.00747x + 12.64393입니다.
우리는 Y = 2x +4 +10rand()를 했기 때문에
이론상으로는 12.6이 아니라 14가 나와야 했지만, 랜덤값이 약간 쏠린 것 같습니다.
어쨌든 피팅이 잘 된 것을 알 수 있습니다.
우리가 원하는 데이터들이 약간의 노이즈가 있을 때, 데이터를 잘 정리하여 fitting하는 방법을 알아보았습니다.
또 다른 이야기가 궁금하시면 아래 글도 확인해 보세요!
[강의][오리진] 오리진랩(OriginLab)이란 무엇인가
[강의][오리진] 오리진랩 (OriginLab) 기초강의 - 그래프그리기
[강의][오리진랩] 그린 그래프 모양 정리하기
안녕하세요. 이전 글을 통해 오리진을 이용한 그래프 그리기를 설명드렸습니다. 이번에는 그린 그래프의 모양을 좀더 개선하여 원하는 레이아웃으로 수정하는 방법들 중 기초적인 부분을 설명�
narhak.tistory.com
[강의] 오리진(Origin) 그래프에서 간편하게 색 설정하기
[강의] 오리진(Origin) 그래프에서 간편하게 색 설정하기
안녕하세요. 오늘은 오리진에서 그린 그래프를, 원하는 색으로 배열하는 방법에 대해서 정리해보았습니다. 오리진은 기본적으로 그래프를 여러개 한번에 그리면, 아래와 같이 오리진 자체의 순
narhak.tistory.com
[강의][오리진] 오리진랩 그래프그리기2 (Double-Y)
[강의][오리진] 오리진랩 그래프그리기2 (Double-Y)
안녕하세요. 오늘은 그래프를 그리는 또다른 방법중, 유용한 기능에 대하여 설명해 보고자 합니다. 바로 한 그래프에 2가지 데이터를 함께 표시하는 방법입니다. 무슨 말인지 좀더 설명을 해보��
narhak.tistory.com
감사합니다 ^^
'강의 > 프로그램(오리진)' 카테고리의 다른 글
| [강의][오리진] 오리진랩 그래프그리기2 (Double-Y) (1) | 2020.04.09 |
|---|---|
| [강의] 오리진(Origin) 그래프에서 간편하게 색 설정하기 (0) | 2019.12.06 |
| [강의][오리진랩] 그래프 x,y축 scale조절/log,linear등의 형식/그래프 눈금간격 등을 수정/정리하는 방법 (3) | 2018.09.27 |
| [강의][오리진] 오리진랩 (OriginLab) 기초강의 - 그래프그리기 (3) | 2018.09.26 |
| [강의][오리진] 오리진랩(OriginLab)이란 무엇인가 (0) | 2018.09.25 |